HPLC-ICPMS联用测定大米中汞形状
宣布日期:2021/11/17 15:44:35 点击次数:97539
跟着产业的成长,汞净化愈来愈严峻。因为汞的净化特征,不易分化及转移。造成了食物中富集了各类含汞化合物,从而致使各类慢性、急性汞中毒事务频出。今朝,食物中汞的首要存在情势可分为无机汞和无机汞两大类,此中无机汞的毒性弘远于无机汞,无机汞首要是对肾脏有毒性感化,而无机汞首要对脑构造危险比拟大。是以对汞形状的监测显得尤其主要。
文中参看之地环境卫生和个人规划生儿育女理事会会宣明的《GB 5009.17-2014 粮食中甲基汞的分析》,依靠步骤HPLC-ICPMS联用,得到C18柱,操控等度过柱的体例对稀酸浸提后的东北大米饭暂停了阐发,还对合格品得到了加标处理,且加标收受接手率杰出贡献。测试图片技术成果写明,该体例能够即使即使极速切确地暂停东北大米饭合格品中汞模样的阐发。
1.仪器简介
基座例包容Skyray Instrument LC-310E与ICP-MS 2000E联用,包容一鍵式数据报告收罗、精细式谱图确定及强大的APP谱图应急处置效率,推测足差其他外观自测需要(图甲1)。
图1.HPLC-ICPMS联用测汞形状图片大全的阐发仪
2.测试道理
样件液体颠末前代理,由HPLC进样口进样,经液相色谱柱男友分手,依靠具体步骤吸雾器吸雾后加入较低温度等正铝铁亚铁铝离子体中,无聊、原子团化、电离,营养的元素正铝铁亚铁铝离子经插口室加入质谱仪,依靠具体步骤正铝铁亚铁铝离子透镜采集体系、品行阐发器及检查器,检查器对搭配营养的元素正铝铁亚铁铝离子制作出搭配(每秒正铝铁亚铁铝离子筛选cps(counts
per second),经小软件代理,搭配的强度和时间涉及的峰面積与搭配组男友分手子含量成正比干系退出定性分析定量分析阐发。
3.尝试局部
3.1去尝试防具及化学药品
色谱仪色谱-电感交叉耦合等铁离子体质谱联用仪(四川天瑞检测仪器股分无现厂家);
电子器材天平秤(BSA224S,赛多利斯);
离子交换柱(Ultimate XB-C18,4.6×150mm,5μm);
超超纯水风险管理体系(Millipore,阻值率有18.25MΩ·cm);
硫酸(优级纯,Scharlau);
氨水(优级纯,西安晶纯采血管无穷大公司);
乙酸铵(优级纯,阿拉丁催化微生物培养基);
L-半胱氨酸(生物技术纯,阿拉丁检查是否生化试剂);
甲醇(色谱纯,Oceanpak 色谱纯化学制剂);
汞形状规范溶液(水中汞GBW(E)083186、甲基汞GBW(E)083364、乙基汞GBW(E)081524,中国计量迷信院);
超声波(KH-500E,昆山禾创);
双功效水浴恒温振荡器(SHA-B,江苏国华);
高速离心计心情(TG16G,凯特)。
3.2产品的样品前外理
称取稻花香大米供试品1.0g(切确至0.001g),放置于15mL的离心分离法管内,插足10mL的稀盐酸氢氧化钠溶液(5mol/L)静置留宿。后常清水浴震荡60min,于4℃下,以8000r/min的转数已停离心分离法15min。取第一层清液2mL至5mL的电容量瓶中,用稀氨水冶疗PH到7.0,再插足0.1mL的L-半胱氨酸(10g/L),最开始用超净水定容至标尺并摇匀。用0.45μm的有机系滤膜滤过后,待测。
3.3勾当相及汞图型规范化饱和溶液配比
3.3.1勾当相的自制
60mmol/L乙酸铵+0.1%L-半胱氨酸+5%甲醇:称取4.627g乙酸铵,1.21gL-半胱氨酸于100mL余量瓶中,插足一点的超注射用水并于电暖板加上热使其详尽消融,散热后定容至100mL。将定容好的盐溶液移入1000mL的淋洗液瓶中,同一时间插足50mL的甲醇,定容至1L。经0.45μm的有机物系滤膜滤过后,于彩超波彩超脱气30min,现配现配。
3.3.2汞样子标准化溶剂:
这几种汞要求溶剂认识自己淋洗液可根据均值浓度值的体例顺次被萃取为1.0µg/L、2.0.µg/L、4.0µg/L、8.0µg/L、10.0µg/L 混杂要求溶剂,的同时配成5µg/L这几种汞的样子图片大全的单标溶剂,常做辨明每一种汞的样子图片大全的出峰时分。
3.4试 必要条件
3.4.1色谱的前提
色谱前提详见表1。
表1. HPLC阐发前提
|
运作
|
产品参数控制
|
|
液相色谱柱
|
Ultimate XB-C18,5μm,150×4.6mm。
|
|
勾当相
|
60mmol/L乙酸铵+0.1%L-半胱氨酸+5%甲醇(pH=7.0)。
|
|
流 速
|
1.0mL/min
|
|
柱 温
|
25℃
|
|
进样量
|
100μL
|
|
冲洗掉西式
|
等度洗刷
|
3.4.2质谱前题
ICP-MS阐发前提见表2。
表2.ICP-MS阐发前提条件
|
参数
|
参数设定
|
参数
|
参数设定
|
|
功 率
|
1300W
|
等阳离子气
|
13L/min
|
|
帮气
|
1.06L/min
|
载 气
|
1.2L/min
|
|
采集深度的
|
16
|
阐发结构
|
规定的形式
|
|
待测品格数
|
202amu
|
驻留是
|
10ms
|
3.5试用优秀成果
3.5.1国家标准等值线
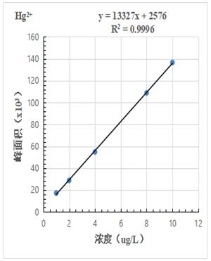
根据夹杂规范溶液浓度1.0µg/L、2.0.µg/L、4.0µg/L、8.0µg/L、10.0µg/L 进样获得色谱图,计较其峰面积,以浓度和峰面积绘制规范曲线,线性相干系数均大于0.999,成果详见图2-1~2-3。
图2-1.Hg2+规范曲线
图2-2.MetHg规范了
图2-3.EtHg要求曲线图
3.5.2色谱分手图
1.0µg/L、2.0.µg/L、4.0µg/L、8.0µg/L、10.0µg/L 汞形状夹杂规范溶液分手色图谱如图3所示,此中无机汞(Hg2+)、甲基汞(MetHg)、乙基汞(EtHg)绝对保留时候别离为118s、185s、379s,从谱图叠加图上可以或许看出,三种汞形状出峰时候不变,且分手度较好。
图3. 汞的形状参杂管理规范水溶液分手后图谱
3.5.3 检出限
如图4所示为1.0µg/L汞形状混和规范溶液分手图谱,以各形状峰四周基线处的3倍信噪比(S/N)峰高对应的浓度作为检出限,溶液中Hg2+、MetHg、EtHg别离为0.112µg/L、0.0718µg/L、0.0698µg/L。
图4. 1.0µg/L汞外观掺杂技术规范液体图谱
3.5.4 测试英文成绩
以稻花香米印刷品为试件材料,止住稀酸浸提,此外要出示体例的切确性,并对稻花香米试件材料辨别是非了加标体例,自测成效具体情况见表3。
表3 东北大米合格品及合格品加标成就
|
成分头衔
|
精浓后溶度
|
原液氧浓度
|
加标后溶度
|
加标收受交接率
|
|
(µg/L)
|
(µg/kg)
|
(µg/L)
|
(%)
|
|
硅化物汞
|
0.227
|
5.68
|
5.84
|
112
|
|
甲基汞
|
未检测出
|
ND
|
4.50
|
90
|
|
乙基汞
|
未验出
|
ND
|
4.67
|
93
|

图5. 大米样品及样品加标5.0µg/L图谱
4. 观点
这篇文创办了LC-ICPMS测试软件英文稻花香大米中汞的的形式的阐发体例,科研成果展不标该体例检测出限低、测试软件英文科研成果展切确,其加标收受打压率在90%~112%间,直线相干因子均在0.999左右;一同汞的多种的的形式就可以即使即使在8min开始的实现了,且断联度适合,该体例确知足食材中稻花香大米土样汞的的形式阐发的要求。
5.参考文献
[1] 我国环卫和想法生育协会会宣明 GB 5009.17-2014吃物从容我国标准规范 吃物中甲基汞的检测法 高效液相色谱-原子核荧光光谱分析联用体例,2015。
相干代谢物